第7回 表計算ソフトによる解析
Excelのセル計算を応用すると、ちょっとした科学技術計算を容易に行うことも可能である。今回はその一例として、Excelを利用して数値積分を行ってみる。
本講義で身につけた知識が役立つ科目など:
機械工学実験,ゼミナール,卒業研究,大学院での研究,企業での報告書作成など。
7.1 数値積分とは
コンピュータの繰り返し機能を利用して、近似的に積分値を求める計算方法である。特に、解析的に積分を行うことが困難である場合に有効である。興味のあるものは、「区分求積法」「数値積分法」「オイラー法」などをキーワードとして調べてみると良い。
7.2 数値積分の理論
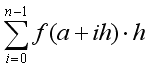
図に示すような関数f(x)とx軸で囲まれた部分の面積は、以下の定積分で求められる。

この部分の面積を、下図に示すようなn個の長方形の面積に近似して考える。
この長方形の面積の総和は次式で表される。

なお、ここで

である。nを充分に多くした場合(= hを充分に小さくした場合)、長方形の面積の総和は定積分の値に収束する。すなわち、

7.3 Excelを利用した数値積分
Excelのセル参照の機能を利用して、繰り返し計算を実現する。例として、以下の関数を被積分関数とした積分計算を行う。

- まず最初に、積分区間(aおよびb)と分割数(n)より、長方形の幅(h)を計算する部分を作成する。
- 区間aからbのxの値に対し、h刻みでf(x)の値を求める。
- xの最初の行にはaが入ることになり、その下のセルには (1つ上のセルの値)+h が入ることになる。以降xの値が b-h になるまで同じ計算を繰り返す。
- f(x)の値は、すぐ左のセルの値(=xの値)を利用して計算を行う。
- 一箇所だけ計算式を入れれば、後はコピーして貼り付けするだけでよい。
- べき乗計算は「^」を用いる。(例) 2^4 など。
- xとf(x)の値を利用してグラフを作成する。
- 微少な長方形のそれぞれの面積(=f(x)*h)を求める。
- 一番下のxの値は b ではなく b-h となることに注意すること。
- 面積の累積和を求める。一番下に出てきた値が求める積分値である。
- 分割数を変化させたとき、積分値がどのように変化するか。理論値と比較して誤差がどのようになるかを考察せよ。
- 遠くのセルへ移動したいときは、「Excelのジャンプ機能(F5キー)」や「Ctrl + カーソル」の機能を利用すると良い。
課題
以下の積分計算を実行せよ。できあがったExcelファイルをOh-o!Meijiシステムにより提出せよ。

- ヒント:ルートの計算は関数sqrt()を用いる。sqrt(2)など。
提出期限は来週月曜正午までとする。