|
☸ ここは自分の備忘用に、気になった経文のメモを記録しておく場所です。 将来的には、それぞれの経文の言葉を、独立したページとして公開する可能性もあります。 2023年5月25日 加藤徹 |
その典拠は不明であるが、源信の『読経用心』や省悟の『律苑事規』(一三二四)、 『大通禅師語録』(一四二五)や、浄土宗の文献では『日用念誦』『浄業課誦付録』などにみることができる。云々とあり、中国よりも前に日本の書物には開経偈が掲載されていたことになる。
【自分の備忘用です】
— 加藤徹(KATO Toru) (@katotoru1963) September 7, 2024
楽譜「開経偈」2024年9月7日版https://t.co/iXxWGOGxGC pic.twitter.com/uZCsIuorhm
【開経偈】楽譜 (一部変更)
— 加藤徹(KATO Toru) (@katotoru1963) August 11, 2024
この上もなく深き法 未来永劫 遭いがたし
我 幸いに 今 出会う 学ばん 如来の真実義
無上深甚微妙法 百千万劫難遭遇
我今見聞得受持 願解如来真実義 pic.twitter.com/5TM5kBhlpW
【自分の備忘用です】 懺悔文 / 懺悔偈 楽譜(2024年9月14日版)https://t.co/4M6xTOMfVw
— 加藤徹(KATO Toru) (@katotoru1963) September 14, 2024
我が積みたる悪業の
理由はすべて貪瞋癡
身・口・心を慎みて
いま一切を懺悔せん
我昔所造諸悪業
皆由無始貪瞋癡
従身語意之所生
一切我今皆懺悔 pic.twitter.com/e0o29i7Uth
6. Jarā Suttaṃ
804. Appaṃ vata jīvitaṃ idaṃ||
Oraṃ vasassatā pi miyati,||
Yo ce pi aticca jīvati,||
Atha kho so jarasā pi miyati.|| ||
805. Socanti janā mamāyite,||
Na hi santā niccā pariggahā,||
Vinābhāvasantam ev'idaṃ||
Iti disvā nāgāram āvase.|| ||
806. Maraṇena pi taṃ pahīyati,||
Yaṃ puriso 'mama-y-idan' ti maññati,||
Evaṃ pi viditvā paṇḍito||
Na mamattāya nametha māmako.|| ||
807. Supinena yathā pi saṅgataṃ||
PaṭiBuddho puriso na passati,||
[159] Evam pi piyāyitaṃ janaṃ||
Petaṃ kāla-kataṃ na passati.|| ||
808. Diṭṭhā pi sutā pi te janā,||
Yesaṃ nāmam idaṃ pavuccati,||
Nāmam evāvasissati||
Akkheyyaṃ petassa janatuno.|| ||
809. Sokaparideva-maccharaṃ||
Na jahanti giddhā mamāyite,||
Tasmā munayo pariggahaṃ||
Hitvā acariṃsu khemadassino.|| ||
810. Patilinavarassa bhikkhuno||
Bhajamānassa vivittamānasaṃ,||
Sāmaggiyam āhu tassa taṃ||
Yo attāṇaṃ bhavane na dassaye.|| ||
811. Sabbattha muni anissito||
Na piyaṃ kubbati no pi appiyaṃ,||
Tasmiṃ paradeva-maccharaṃ||
Paṇṇe vāri yathā na lippati.|| ||
812. Udabindu yathā pi pokkhare||
Padume vāri yathā na lippati,||
Evaṃ muni nōpalippati||
Yad idaṃ diṭṭhasutaṃ mutesu vā|| ||
[160] 813. Dhono na hi tena maññati||
Yad idaṃ diṭṭhasutaṃ mutesu vā,||
Nā aññena visuddhim icchati:||
Na hi so rajjati no virajjati ti.|| ||
Garāsutta
From selfishness come grief and avarice; The Bhikkhu who has turned away frorn the world and wanders about houseless, is independent, and does not wish for purification through another.
1. [804] Short indeed is this life, within a hundred years one dies, and if any one lives longer, then he dies of old age.
2. [805] People grieve from selfishness, perpetual cares kill them, this (world) is full of disappointment; seeing this, let one not live in a house.
3. [806] That even of which a man thinks 'this is mine' is left behind by death: knowing this, let not the wise (man) turn himself to worldliness (while being my) follower.
4. [807] As a man awakened does not see what he has met with in his sleep, so also he does not see the beloved person that has passed away and is dead.
5. [808] Both seen and heard are the persons whose particular name is mentioned, but only the name [155] remains undecayed of the person that has passed away.
6. [809] The greedy in their selfishness do not leave sorrow, lamentation, and avarice; therefore the Munis leaving greediness wandered about seeing security (i.e. Nibbāna).
7. [810] For a Bhikkhu, who wanders about unattached and cultivates the mind of a recluse, they say it is proper that he does not show himself (again) in existence.
8. [811] Under all circumstances the independent Muni does not please nor displease (any one); sorrow and avarice do not stick to him (as little) as water to a leaf.
9. [812] As a drop of water does not stick to a lotus, as water does not stick to a lotus, so a Muni does not cling to anything, namely, to what is seen or heard or thought.
10. [813] He who has shaken off (sin) does not therefore think (much of anything) because it has been seen or heard or thought; he does not wish for [156] purification through another, for he is not pleased nor displeased (with anything).
過去を振り返るな、引用終了。
未来を追い求めるな。
過去となったものはすでに捨て去られたもの、
一方、未来にあるものはいまだ到達しないもの。
そこで、いまあるものを
それぞれについて観察し、
左右されず、動揺せずに、
それを認知して、増大させよ。
今日の義務をこそ熱心にせよ、
明日の死を知り得る人はないのだから。
死神の大軍勢と
戦わないという人はいないのだから。
このように熱心に禅定を行なう人、
昼夜怠けぬ人、
その人こそが『吉祥なる一夜における、
心静まった聖者』として語られる。
世尊はこのように告げられた。引用終了。
「過去を追い求めることなく6、未来を俟つことなかれ7。
過去、それは捨てられしもの。未来、それはいまだ到らざるもの」
「現在するものごと、それをその時、その場にてじっと見つめる。
支配されることなく8 、動じることなく、それを知って確固たらしめる」
「今日こそ努力の為されるべき時である。誰が明日死せんことを知るであろうか。
実に、いかなる(不死の)約束9も、死の大軍と交わすことは出来ない」
「このように、昼夜おこたることなく、熱意もって住すること、
それはまさしく吉祥なる染著である、と寂静なる牟尼は示さる。」
「『比丘たちよ、私は汝らに賢者の一夜なる説示とその分別を説き示そう』と、――そのように言い、そのようなことから、ここにこれを説いた。」
これが、世尊の説かれたことである。心にかなった彼ら比丘たちは、世尊の言葉を喜んだ。
祥染経(跋地羅帝経)第一
日本語訳:沙門覺應 (慧照)
(Translated by Bhikkhu Ñāṇajoti)
以下、植木雅俊先生 @Mlz6YW6DOXK3w85 の2つのツイート「過去を追わざれ。未来を願わざれ」(ブッダ)
— 加藤徹(KATO Toru) (@katotoru1963) June 10, 2023
いい言葉ですね。合掌??
漢訳仏典では「慎莫念過去 亦勿願未来」(大正蔵 1 p.697上)、英訳では“Don’t run back to the past, / don’t hope for the future.”(Bhaddekarattasuttat−Bhikkhu Sujato)だと思いますが、間違ってたらすみません(^0^;) https://t.co/31VWYpTjhU
近々、英国で出版する『日蓮の手紙』の英語版では、次のように訳しました。引用終了。
Never chase the past, never anticipate the future. The past has been thrown away, the future will never come forever. Thus, you should keenly observe the things in the present moment in every place. (続く)
Knowing this, without doubt, without upset, [in the present moment], you should expand your state of mind and single-mindedly do what you should do today.
偈文白話大意是說,不要懷念過去,也勿祈願未來,因為過去的已經過去,未來的還沒到來。對於現在的一切,也要這樣的思考,這一切都是無常不牢靠的,有智慧的人應當有這樣的覺悟。若依著賢聖的修行而修,哪裏還會憂愁死亡的來臨呢?但如果不這樣修,大苦災禍終究會降臨。像這樣精進,日夜無懈怠,這就是大家應當常說的跋地羅帝偈。
愼みて過去を念ずること莫れ。亦未来を願ふこと勿れ。過去の事已に滅し、未来また未だ至らず。現在所有の法、彼亦当に思を為すべし。【五】堅強有ること無きを念じ、慧者覚ること是の如し。若し聖人の行を作さば、孰か死を愁ふるを知らん。我要ず彼に会はず、大苦災患終る。是の如く精勤を行じ晝夜懈怠無し。この故に常に當に跋地羅帝偈を説くべし。引用終了。
【五】 以下意味稍々不明。 巴利文 「不変不動を知りてこれを追へ。 今日こそは勤苦をなすべく、 誰か明日の死を知らんや。 吾等彼の死の大軍と戦ひて[克つ]なきが故に。 斯の如く熱烈に昼夜に怠りなくして住するもの、 それをば良き牟尼はバツデーカラツタとは呼ふ。」
「つヽし」みて「くわ/こ」を「ねん」ずること「なか」れ。 亦「み/らい」を「ねが」ふこと「なか」れ。 「くわ/こ」の事「すで」に「めつ」し、 未来また「いま」だ「いた」らず。 「げん/ざい/しよ/う」の「ほふ」、 彼亦「まさ」に「おもひ」を為すべし。 「けん/がう」有ること無きを念じ、 「ゑ/しや/さと」ること「かく」の如し。 若し「しやう/にん」の行を作さば、 「たれ」か「し」を「うれ」ふるを知らん。 我「かなら」ず彼に「あ」はず、 「だい/く/さい/げん/をは」る。 是の如く「しやう/ごん」を「ぎやう」じ「ちう/や/け/たい」無し。 この故に「つね」に「まさ」に「ばつ/ぢ/ら/てい/げ」を「と」くべし。
WEBサンガジャパン 2022/06/13 07:00引用終了
特集 アルボムッレ・スマナサーラ「様々な「日日是好日」」[1]
(中略)
実はこの「日日是好日」という言葉を最初に提唱されたのは、他でもない、お釈迦様なのです。パーリ語では“Bhaddekaratta(バッデーカラッタ)”と言います。「毎日がとても幸せな日でいるように」とシンプルにとなえた、容易に理解できそうな気がする言葉です。「毎日、とても幸せな気分でいるとはどういう意味だろう?」と、誰でも自由に考えられますし、自分の能力に見合った理解ができます。それがゆえに、誤解される可能性もあるのです。
(中略)
Bhaddekaratta(バッデーカラッタ)というパーリ語を日本でも馴染み深い禅語を使って意訳すると「日日是好日」になるのです。
Bhadda(バッダ)とは「よい」という意味です。「とてもよい」というニュアンスで、「よい」の中でも意味がちょっと重いです。文句がひとかけらもないほど「なんて素晴らしいことか!」という意味です。
Ekaratta(エーカラッタ)は一日(one day)です。
そういうわけで、Bhaddekarattaを日本語に直訳すると「善き一日」となります。
(中略)
日本語に翻訳すると、そのままでは意味がわからなくなりますし、なかなか美しい詩の形にはなりません。ですので、正しく意味を理解した上で、繰り返しパーリ語でとなえて、しっかり憶えておくことをお勧めします。
■「日日是好日」偈 Bhaddekaratta gāthā
Atītaṃ nānvāgameyya, nappaṭikaṅkhe anāgataṃ,
アティータン ナーンワーガメイヤ ナッパティカンケー アナーガタン
過去を追いゆくことなく また未来を願いゆくことなし
Yadatītaṃ pahīnaṃ taṃ, appattañ ca anāgataṃ.
ヤダティータン パヒーナン タン アッパッタン チャ アナーガタン
過去はすでに過ぎ去りしもの 未来は未だ来ぬものゆえに
Paccuppannañca yo dhammaṃ, tattha tattha vipassati,
パッチュッパンナン チャ ヨー ダンマン タッタ タッタ ヴィパッサティ
現に存在している現象を その場その場で観察し
Asaṃhīraṃ asaṅkuppaṃ, taṃ vidvā manubrūhaye.
アサンヒーラン アサンクッパン タン ヴィドゥワー マヌブルーハイェー
揺らぐことなく動じることなく 智者はそを修するがよい
Ajjeva kiccaṃ ātappaṃ, ko jaññā maraṇaṃ suve
アッジェーワ キッチャン アータッパン コー ジャンニャー マラナン スヴェー
今日こそ努め励むべきなり 誰が明日の死を知ろう
Na hi no saṅgaraṃ tena, mahāsenena maccunā.
ナ ヒ ノー サンガラン テーナ マハーセーネーナ マッチュナー
されば死の大軍に 我ら煩(わずら)うことなし
Evaṃ vihāriṃ ātāpiṃ, ahorattam atanditaṃ
エーワン ヴィハーリン アーターピン アホーラッタマタンディタン
昼夜怠ることなく かように住み、励む
Taṃ ve bhaddekarattoti, santo ācikkhate munīti.
タン ヴェー バッデーカラットーティ サントー アーチッカテー ムニーティ
こはまさに「日日是好日」と 寂静者なる牟尼(むに)は説く
中部経典(Majjhimanikāya)131 Bhaddekarattasuttaより抜粋
(つづく) 構成:佐藤哲朗(日本テーラワーダ仏教協会) 川松佳緒里
(以下略)
※( )中は、『ブッダの〈今を生きる〉瞑想』の翻訳。引用終了
一夜賢者の偈
過ぎ去れるを追いかけることなかれ(過去を追いかけず)
未だ来たらざるを念(おも)うことなかれ(未来に心を奪われるな)
過去、そはすでに捨てられたり(過去はすでになく)
未来、そはいまだ到らざるなり(未来はまだ来ていない)
されば、ただ現在するところのものを(まさに今ここにおいて)
そのところにおいてよく観察すべし(いのちを深くありのままに見つめれば)
揺らぐことなく、動ずることなく(その修行者の心は、不動そして自在にとどまる)
それを見きわめ、それを実践すべし(今日を励みつつ)
ただ今日まさに作すべきことを熱心になせ(生きること)
たれか明日死のあることを知らんや(明日を待つのでは遅すぎる)
まことにかの死魔の大軍と(死は突然にやって来る)
遭わずということ、あることなし(それを避ける手立てはない)
かくのごとくよく見きわめたるものは(賢者は言う)
心をこめ、昼夜おこたることなく実践せん(昼も夜もマインドフルネスにとどまる者こそ)
かくのごときを一夜賢者という(「ひとりで生きるより良き道を知る者」であると)
また、心しずまるものとはいうなり
<増谷訳は『この人を見よブッダ・ゴータマの生涯』名著選(佼成出版社)より>
|
久故念捨莫思 亦無望当来親 見在亡不著憂 離四海疾事走 きゅう/こ/ねん/しゃ/まく/し やく/む/もう/とう/らい/しん けん/ざい/もう/ふ/じゃく/う り/し/かい/しつ/じ/そう 久古の念は捨て、思うなかれ。また、まさにきたるべき親しきものを、望むなかれ。ほろぶにあるを見て、憂いにおらざれ。四海を離れ、疾く走るを事とせよ。 |
九四四 古いものを喜んではならない。また新しいものに魅惑されてはならない。滅びゆくものを悲しんではならない。牽引する者(妄執)にとらわれてはならない。
すべては移り行くということの認識にもとづいて、現実に即した柔軟性に富んだ実践原理が成立するのである。人生の指針として、こんなすばらしいことばがまたとあるだろうか!
944. Purāṇaṃ nābhinandeyya, nave khantiṃ na kubbaye,||https://obo.genaud.net/dhamma-vinaya/sbe/kd/snp/kd.snp.faus.sbe.htm#IV.15 より引用。 “Translated from the Pali by V. Fausbøll ”=ヴィゴ・ファウスベル(Viggo Fausböll 1821-1908)によるパーリ語からの英訳。閲覧日2023年6月3日。
Hīyamāne na soceyya, ākāsaṃ na sito siyā.|| ||
[944] Let him not delight in what is old, let him not bear with what is new, let him not grieve for what is lost, let him not give himself up to desire.
從無哀致恐怖 人世世從黠聽
今欲説義可傷 我所從捨畏怖
展轉苦皆世人 如乾水斷流魚
在苦生欲害意 代彼恐癡冥樂
一切世悉然燒 悉十方亂無安
自貢高不捨愛 不見故持癡意
莫作縛求冥苦 我悉觀意不樂
彼致苦痛見刺 以止見難可忍
從刺痛堅不遺 懷刺走悉遍世
尊適見拔痛刺 苦不念不復走
世亦有悉莫受 邪亂本捨莫依
欲可厭一切度 學避苦越自成
住至誠莫妄擧 持直行空兩舌
滅恚火壞散貪 捨惱解黠見度
捨瞢瞢莫睡臥 遠無度莫與倶
綺可惡莫取住 著空念當盡滅
莫爲欺可牽挽 見色對莫爲服
彼綺身知莫著 戲著陰求解難
久故念捨莫思 亦無望當來親
見在亡不著憂 離四海疾事走
我説貪大猛弊 見流入乃制疑
從因縁意念繋 欲染壞難得離
捨欲力其輩寡 悉數世其終少
捨不沒亦不走 流已斷無縛結
乘諦力黠已駕 立到彼慧無憂
是胎危疾事護 勤力守可至安
已計遠是痛去 觀空法無所著
從直見廣平道 悉不著世所見
自不計是少身 彼無有當何計
以不可亦不在 非我有當何憂
本癡根拔爲淨 後栽至亦無養
已在中悉莫取 不須伴以棄仇
一切已棄名色 不著念有所收
已無有亦無處 一切世無與怨
悉已斷無想色 一切善悉與等
已從學説其教 所來問不恐對
不從一致是慧 所求是無可學
已厭捨無因縁 安隱至見滅盡
上不憍下不懼 住在平無所見
止淨處無怨嫉 雖乘見故不憍
(一)自ら冥にして是を言ふ、彼れ及ばず、と
癡に著きて日に漏らせば、何れの時にか明ならん
自ら道無くして謂ふ、學は悉く爾り、と
但だ亂れて行無くば、何れの時にか解せん
(二)常に自ら尊行を得たりと覺し 自ら行は無比なりと聞見せば
已に墮して世の五宅に繋せり 自らを奇しむ可し、行は彼に勝るるやと
(三)癡を抱き婬に住して善を致すも 已に邪に學べば度を得るに蒙し
見聞する所を諦かに受け思ひ 戒を持つと雖も可と謂ふ莫かれ
(四)世に行ずるを見るも悉くは修する莫かれ 黠もて亦た彼の行ずるを念ずと雖も
行を興すは等しくとも亦た敬待すべし 想を生ずる莫かれ「及ばず」「過ぎたり」と
(五)是れ已に斷てば後も亦た盡き 亦た想を棄て獨り行きて得
自ら知れども以て黠を致すとする莫く 見聞すと雖も但だ觀を行ずるのみ
(六)悉く兩面を願ふこと無く 胎より亦た胎なるも捨てて遠離し
亦た兩處に住まる所無し 悉く法を觀じて正しきを得て止む
(七)意・受行・見聞する所 邪に念ずる所を小なるすら想はず
慧もて法を觀じて見・意を竟む 是の得たるに從ひて世の空しきを捨つ
(八)自らに何なる法・行も有る無く 行法を本として義諦を求むるも[有る無し]
但だ戒を守るのみにして諦と爲すを求むるも[然り] 無極に度して衆は還らざればなり
5. Paramaṭṭhaka Suttaṃ
796. 'Paraman' ti diṭṭhisu paribbasāno||
Yad utatariṃ kurute jantu loke,||
"Hinā" ti aññe tato sabba-m-āha:||
Tasmā vivādāni avitivatto.|| ||
797. Yad attani passati ānisaṃsaṃ||
Diṭṭhe sute sīla-vate mute vā,||
Tad eva so tattha samuggahāya||
Nihinato passati sabbam aññaṃ.|| ||
798. Taṃ vā pi ganthaṃ kusalā vadanti,||
Yaṃ nissito passati hinam aññaṃ,||
Tasmā hi diṭṭhaṃ va sutaṃ mutaṃ vā||
Sīlabbataṃ bhikkhu na nissayeyya.|| ||
799. Diṭṭhim pi lokasmiṃ na kappayeyya||
Ñāṇena vā sīla-vatena vā pi,||
'Samo' ti attāṇaṃ anupaneyya||
'Hino' na maññetha 'visasi' vā pi.|| ||
800. Attaṃ pahāya anupādiyāno||
Ñāṇe pi so nissayaṃ no karoti,||
Sa ve viyattesu na vaggasāri||
Diṭṭhim pi so na pacceti kiñci.|| ||
801. Yasasūbhayante paṇidhidha n'atthi||
Bhavābhavāya idha vā huraṃ vā,||
Nivesanā tassa na santi keci||
Dhammesu niccheyya samuggahītaṃ.|| ||
802. Tassidha diṭṭhe va sute mute vā||
Pakappitā n'atthi aṇū pi saññā,||
Taṃ brāhmaṇaṃ diṭṭhim
anādiyānaṃ||
Kenidha lokasmiṃ vikappayeyya.|| ||
803. Na kapapyanti na pure-k-kharonti||
Dhammā pi tesaṃ na paṭicchitāse,||
[158] na brāhmaṇo sīla-vatena neyyo,||
Pāraṃgato na pacceti tādī ti.|| ||
Paramaṭṭhaka Suttaṃ Niṭṭhitaṃ|| ||
5. Paramaṭṭhakasutta
One should not give oneself to philosophical disputations; a Brāhmaṇa who does not adopt any system of philosophy, is unchangeable, has reached Nibbāna.
1. [796] What one person, abiding by the (philosophical) views, saying, 'This is the most excellent,' considers the highest in the world, everything different from that he says is wretched, therefore he has not overcome dispute.
2. [797] Because he sees in himself a good result, with regard to what has been seen (or) heard, virtue and (holy) works, or what has been thought, therefore, having embraced that, he looks upon everything else as bad.
3. [798] The expert call just that a tie dependent upon which one looks upon anything else as bad. Therefore let a Bhikkhu not depend upon what is seen, heard, or thought, or upon virtue and (holy) works.
4. [799] Let him not form any (philosophical) view in this world, either by knowledge or by virtue and (holy) works, let him not represent himself equal (to others), nor think himself either low or distinguished.
5. [800] Having left what has been grasped, not seizing upon anything he does not depend even on knowledge. He does not associate with those that are taken up by different things, he does not return to any (philosophical) view.
6. [801] For whom there is here no desire for both ends, for reiterated existence either here or in another world, for him there are no resting-places (of the mind) embraced after investigation amongst the doctrines (dhammesu).
7. [802] ln him there is not the least prejudiced idea with regard to what has been seen, heard, or thought; how could any one in this world alter such a Brāhmaṇa who does not adopt any view?
8. [803] They do not form (any view), they do not prefer (anything), the Dhammas are not chosen by them, a Brāhmaṇa is not dependent upon virtue and (holy) works; having gone to the other shore, such a one does not return.
中村1984、p.180以下、https://north-market.com/suttanipata/sn802-809/ より引用。閲覧日2023年5月26日。引用開始。
八〇二 かれらはこの世において、見たこと、学んだこと、あるいは思索したことに関して、微塵ほどの妄想をも構えていない。いかなる偏見をも執することのないそのバラモンを、この世においてどうして妄想分別させることができるであろうか?
八〇三 かれらは、妄想分別をなすことなく、(いずれか一つの偏見を)特に重んずるということもない。かれらは、諸々の教義のいずれかをも受け入れることもない。バラモンは戒律や道徳によって導かれることもない。このような人は、彼岸に達して、もはや還ってこない。
中村1984、p.384
いわゆる六十二見のうちのいずれをも受け入れないというのである。 仏教は、普通は「法を説く」と言われているのに、ここでは「法」(dhamma)を否定している。 その意味は<教義>なるものを否定しているのである。 教義を否定したところに仏教がある[ちなみに、ここで paṭicchitāse というのは『リグ・ヴェーダ』の語法が残っているのであり、この詩句が非常に古いことを示している。 pi(=Skrt. api)は、「すべてひっくるめて、いずれも」の意味である]。
SN-4-5-808パーリ語(Pali)と英訳(English)
Tassidha diṭṭhe va sute mute vā,
彼は・ここで 見た あるいは 聞いた 考えた あるいは
Pakappitā n'atthi aṇū pi saññā;
作為した 非存在 少しも 想念は
Taṃ brāhmaṇaṃ diṭṭhim anādiyānaṃ,
その バラモンを 見解に・ない・心に刻む
Kenidha lokasmiṃ vikappayeyya.
何によって・ここ 世において 分別できるか
彼は見たこと、聞いたこと、
考えたことについて
少しも想像をふくらませない。
どんな考えも心にとめない
そんなバラモンをこの世で
分け隔てられるだろうか。
SN-4-5-809
Na kapapyanti na purekkharonti,
ない 判断する ない 尊敬する
dhammā pi tesaṃ na paṭicchitāse;
ダンマも 彼らに ない 受け入れる
Na brāhmaṇo sīlavatena neyyo,
ない バラモンは 戒・儀式に 導かれる
pāraṃgato na pacceti tādī ti.
彼岸に渡った者 ない 戻る このような
彼らは判断したり
崇めたりしない
真理にさえ固執しない。
バラモンは戒と儀式によって
もたらされることはなく
涅槃に至った者は
還ることはない。
Sutta Nipāta
Namo tassa Bhagavato arahato sammā sambuddhassa
Public Domain
802. Tassidha diṭṭhe va sute mute vā||
Pakappitā n'atthi aṇū pi saññā,||
Taṃ brāhmaṇaṃ diṭṭhim anādiyānaṃ||
Kenidha lokasmiṃ vikappayeyya.|| ||
803. Na kapapyanti na pure-k-kharonti||
Dhammā pi tesaṃ na paṭicchitāse,||
[158] na brāhmaṇo sīla-vatena neyyo,||
Pāraṃgato na pacceti tādī ti.|| ||
7. [802] ln him there is not the least prejudiced idea with regard to what has been seen, heard, or thought; how could any one in this world alter such a Brāhmaṇa who does not adopt any view?
[154] 8. [803] They do not form (any view), they do not prefer (anything), the Dhammas are not chosen by them, a Brāhmaṇa is not dependent upon virtue and (holy) works; having gone to the other shore, such a one does not return.
如行車於道 捨平就邪道 至邪致憂患 如是壊轂輪仏便入城。城中時有一梵志死、寿年百二十死。復有一長者子、年七歳亦死。両家倶送喪、皆持五綵幡、諸女弱皆被髪、親属啼哭悲涙。仏見因問阿難「是何等人聚会、悲哀声甚痛?」。阿難即如事対。仏因是本、有生是義、令我弟子悉解撿是巻、為後世作明、令我経法久住。時仏説是義足経
遠法正亦爾 意著邪行痛 愚服死生苦 亦有壊轂憂
是身命甚短 減百年亦死 雖有過百年 老従何離死仏説是義足経竟、比丘悉歓喜。
坐可意生憂 有愛従得常 愛憎悉当別 見是莫楽家
死海無所不漂 宿所貪愛有我
慧願観諦計是 是無我我無是
是世楽如見夢 有識寤亦何見
有貪世悉亦爾 識転滅亦何見
聞是彼悉已去 善亦悪今不見
悉捨世到何所 識神去但名在
既悲憂転相嫉 復不捨貪著愛
尊故断愛棄可 遠恐怖見安処
比丘諦莫妄念 欲可遠身且壊
欲行止意観意 已垂諦無止処
無止者亦尊行 愛不愛亦嫉行
在悲憂亦嫉行 無濡沾如蓮華
已不著亦不望 見聞邪吾不愛
亦不従求解脱 不汚婬亦何貪
不相貪如蓮華 生在水水不汙
尊及世亦爾行 所聞見如未生
(一)是の身 命は甚だ短かく 百年を減じて亦た死す
百年を過ぐる有りと雖も 老ひて何に從りて死を離れんや
(二)坐ながらに意に憂を生ず可し 愛有るも[何に]從りて常なるを得んや
愛憎は悉く當に別かるべし 是を見て家を樂ふこと莫かれ
(三)死海に漂はざる所無し 宿貪る所は我有るを愛せばなり
慧もて觀ずるを願ひ諦かに是を計さば 是れに我無く我に是れ無し
(四)是の世の樂は夢を見るが如し 識の寤むる有らば亦た何をか見ん
世を貪る有るも悉く亦た爾り 識轉た滅せば亦た何をか見ん
(五)是れ彼なりと聞くも悉く已に去り 善も亦た惡も今は見ず
悉く世を捨てなば何所に到らん 識神去れば但だ名のみ在り
(六)既に悲憂して轉た相ひ嫉み 復た貪著の愛を捨てず
尊は故に愛を斷じ可なるを棄て 恐怖を遠ざけ安處を見る
(七)比丘は諦かにして妄念莫く 遠ざかる可く欲して身は且に壞せんとす
行止せんと欲し意に意を觀ぜば 已に諦を垂へて止處無し
(八)止まる無きは亦た尊の行なり 愛と不愛と亦た嫉行とに[止まる無し]
悲憂と亦た嫉行とに在りて 濡沾する無きこと蓮華の如し
(九)已に著せず亦た望まず 見聞は邪なれば吾れ愛せず
亦た從りて解脱を求めず 婬に汚されずば亦た何をか貪らん
(十)相ひ貪らざること蓮華の如し [蓮華は]生じて水に在るも水に恩されず
尊は世に及びて亦た爾く行ずれども 聞見する所未だ生ぜざるが如し
6. Jarā Suttaṃ以下 https://obo.genaud.net/dhamma-vinaya/sbe/kd/snp/kd.snp.faus.sbe.htm#IV.6 の英語訳(Translated from the Pali by V. Fausbøll)より引用。閲覧日2023年6月1日。引用開始。
804. Appaṃ vata jīvitaṃ idaṃ||
Oraṃ vasassatā pi miyati,||
Yo ce pi aticca jīvati,||
Atha kho so jarasā pi miyati.|| ||
805. Socanti janā mamāyite,||
Na hi santā niccā pariggahā,||
Vinābhāvasantam ev'idaṃ||
Iti disvā nāgāram āvase.|| ||
806. Maraṇena pi taṃ pahīyati,||
Yaṃ puriso 'mama-y-idan' ti maññati,||
Evaṃ pi viditvā paṇḍito||
Na mamattāya nametha māmako.|| ||
807. Supinena yathā pi saṅgataṃ||
PaṭiBuddho puriso na passati,||
Evam pi piyāyitaṃ janaṃ||
Petaṃ kāla-kataṃ na passati.|| ||
808. Diṭṭhā pi sutā pi te janā,||
Yesaṃ nāmam idaṃ pavuccati,||
Nāmam evāvasissati||
Akkheyyaṃ petassa janatuno.|| ||
809. Sokaparideva-maccharaṃ||
Na jahanti giddhā mamāyite,||
Tasmā munayo pariggahaṃ||
Hitvā acariṃsu khemadassino.|| ||
810. Patilinavarassa bhikkhuno||
Bhajamānassa vivittamānasaṃ,||
Sāmaggiyam āhu tassa taṃ||
Yo attāṇaṃ bhavane na dassaye.|| ||
811. Sabbattha muni anissito||
Na piyaṃ kubbati no pi appiyaṃ,||
Tasmiṃ paradeva-maccharaṃ||
Paṇṇe vāri yathā na lippati.|| ||
812. Udabindu yathā pi pokkhare||
Padume vāri yathā na lippati,||
Evaṃ muni nōpalippati||
Yad idaṃ diṭṭhasutaṃ mutesu vā|| ||
813. Dhono na hi tena maññati||
Yad idaṃ diṭṭhasutaṃ mutesu vā,||
Nā aññena visuddhim icchati:||
Na hi so rajjati no virajjati ti.|| ||
6. Garāsutta
From selfishness come grief and avarice; The Bhikkhu who has turned away frorn the world and wanders about houseless, is independent, and does not wish for purification through another.
1. [804] Short indeed is this life, within a hundred years one dies, and if any one lives longer, then he dies of old age.
2. [805] People grieve from selfishness, perpetual cares kill them, this (world) is full of disappointment; seeing this, let one not live in a house.
3. [806] That even of which a man thinks 'this is mine' is left behind by death: knowing this, let not the wise (man) turn himself to worldliness (while being my) follower.
4. [807] As a man awakened does not see what he has met with in his sleep, so also he does not see the beloved person that has passed away and is dead.
5. [808] Both seen and heard are the persons whose particular name is mentioned, but only the name remains undecayed of the person that has passed away.
6. [809] The greedy in their selfishness do not leave sorrow, lamentation, and avarice; therefore the Munis leaving greediness wandered about seeing security (i.e. Nibbāna).
7. [810] For a Bhikkhu, who wanders about unattached and cultivates the mind of a recluse, they say it is proper that he does not show himself (again) in existence.
8. [811] Under all circumstances the independent Muni does not please nor displease (any one);
sorrow and avarice do not stick to him (as little) as water to a leaf.
9. [812] As a drop of water does not stick to a lotus, as water does not stick to a lotus, so a Muni does not cling to anything, namely, to what is seen or heard or thought.
10. [813] He who has shaken off (sin) does not therefore think (much of anything) because it has been seen or heard or thought; he does not wish for purification through another, for he is not pleased nor displeased (with anything).

人ははからいから、すべてのものに執着(しゅうじゃく)する。富(とみ)に執着し、財に執着し、名に執着し、命に執着する。引用終了。
有無、善悪、正邪、すべてのものにとらわれて迷いを重ね苦しみと悩みとを招く。
ここに、ひとりの人がいて、長い旅を続け、とあるところで大きな河を見て、こう思った。この河のこちらの岸は危いが、向こう岸は安らかに見える。そこで筏(いかだ)を作り、その筏によって、向こうの岸に安らかに着くことができた。そこで「この筏は、わたしを安らかにこちらの岸へ渡してくれた。大変役に立った筏である。だから、この筏を捨てることなく、肩に担(かつ)いで、行く先へ持って行こう。」と思ったのである。
このとき、この人は筏に対して、しなければならないことをしたといわれるであろうか。そうではない。
この比喩(たとえ)は、「正しいことさえ執着すべきではなく、捨て離れなければならない。まして、正しくないことは、なおさら捨てなければならない。」ということを示している。

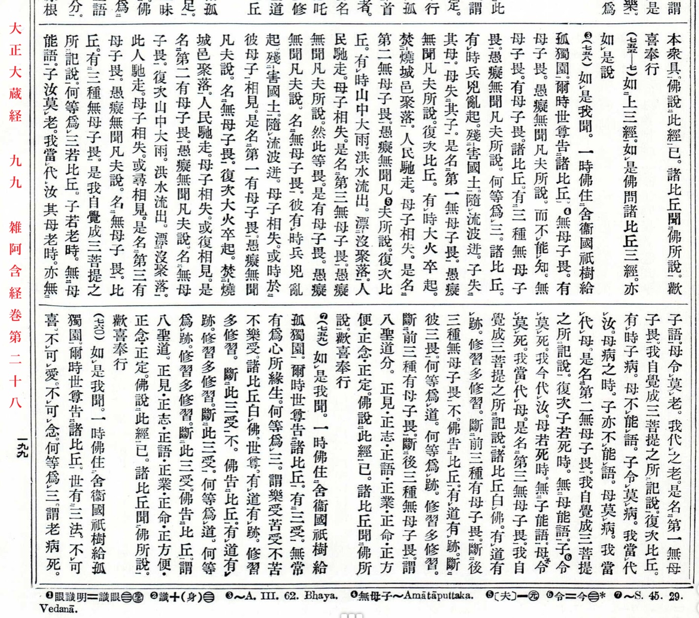
世に母も子を救い得ず、子も母を救い得ない三つの場合がある。すなわち、大火災と大水害と、大盗難のときである。しかし、この三つの場合においても、ときとしては、母と子が互いに助け合う機会がある。引用終了。
ところがここに、母は子を絶対に救い得ず、子も母を絶対に救い得ない三つの場合がある。それは、老いの恐れと、病の恐れと、死の恐れとの襲い来ったときのことである。
母の老いゆくのを、子はどのようにしてこれに代わることができるであろうか。子の病む姿のいじらしさに泣いても、 母はどうして代わって病むことができよう。子供の死、母の死、いかに母子であっても、どうしても代わりあうことはできない。いかに深く愛しあっている母子でも、こういう場合には絶対に助けあうことはできないのである。
There are three occasions full of perils when a son is helpless to aid his mother and a mother cannot help her son:-a fire, a flood and a burglary. Yet, even on these perilous and sad occasions, there still exists a chance for aiding each other.引用終了。
But there are three occasions when it is impossible for a mother to save her son or a son to save his mother. These three occasions are the time of sickness, the period of growing old, and the moment of death.
How can a son take his mother’s place when she is growing old? How can a mother take her son’s place when he is sick? How can either help the other when the moment of death approaches? No matter how much they may love each other or how intimate they may have been, neither can help the other on such occasions.
曠野は無明の路、人の走るは凡夫に喩う。 大象は無常に比し、井は生死の岸に喩う。
樹根は命に喩え、二鼠は昼夜に同じ。 根を齧るは念々衰うるに喩え、四蛇は四大に同じ。
蜜の滴は五欲に喩え、蜂の螫すは邪思に比す。 火は老病に同じく、毒竜はまさに死苦なり。
智者は斯の事を観じて、生を厭う心を起こす。 五欲に心著せざるを、方(まさ)に解脱の人と名づく。
常に無明の海に処して、つねに死王の為に駆らる。 寧ろ声色に恋い、凡を離るるを楽しまず。
| 旧訳 | 旧訳華厳/六十華厳/晋訳華厳 | 西暦418年 | 東晋の仏駄跋陀羅(ぶつだばだら)訳。全60巻。 |
|---|---|---|---|
| 新訳 | 新訳華厳/八十華厳/唐訳華厳 | 西暦695年-704年頃 | 唐の実叉難陀(じっしゃなんだ)訳。全80巻。 |
| 異訳 | 異訳華厳/四十華厳/唐訳華厳/貞元経 | 西暦795年-798年 | 唐の般若(はんにゃ)訳。全40巻。 |
旧訳=「六十華厳」巻十「夜摩天宮菩薩説偈品第十六」 cf.『大正新脩大蔵経』第9巻・第278経・465頁下段-466頁上段(正蔵九・四六五下〜四六六上)に収録されているが、両者の字句には異同がある。新訳は現代中国で普及している。日本仏教では、新訳の宗派と旧訳の宗派がある。
新訳=「八十華厳」巻十九巻「昇夜摩天宮品第十九」 cf.『大正新脩大蔵経』第10巻・第279経・102頁上中段(正蔵一〇・一〇二上〜中)
| 六十華厳 | 若人欲求知 三世一切仏 応当如是観 心造諸如来 |
|---|---|
| 八十華厳 | 若人欲了知 三世一切仏 応観法界性 一切唯心造 |


心如工畫師 畫種種五陰 一切世界中 無法而不造引用終了
如心佛亦爾 如佛衆生然 心佛及衆生 是三無差別
諸佛悉了知 一切從心轉 若能如是解 彼人見眞佛
心亦非是身 身亦非是心 作一切佛事 自在未曾有
若人欲求知 三世一切佛 應當如是觀 心造諸如來
常用漢字版
心如工画師 画種種五陰 一切世界中 無法而不造
如心仏亦爾 如仏衆生然 心仏及衆生 是三無差別
諸仏悉了知 一切従心転 若能如是解 彼人見真仏
心亦非是身 身亦非是心 作一切仏事 自在未曾有
若人欲求知 三世一切仏 応当如是観 心造諸如来
心如工画师.能画诸世间.五蕴悉从生.无法而不造.引用終了。
如心佛亦尔.如佛众生然.应知佛与心.体性皆无尽.
若人知心行.普造诸世间.是人则见佛.了佛真实性.
心不住于身.身亦不住心.而能作佛事.自在未曾有.
若人欲了知.三世一切佛.应观法界性.一切唯心造.
心如工畫師 能畫諸世間 五蘊悉從生 無法而不造引用終了
如心佛亦爾 如佛衆生然 應知佛與心 體性皆無盡
若人知心行 普造諸世間 是人則見佛 了佛眞實性
心不住於身 身亦不住心 而能作佛事 自在未曾有
若人欲了知 三世一切佛 應觀法界性 一切唯心造
心如工画師 能画諸世間 五蘊悉従生 無法而不造
如心仏亦爾 如仏衆生然 応知仏与心 体性皆無尽
若人知心行 普造諸世間 是人則見仏 了仏真実性
心不住於身 身亦不住心 而能作仏事 自在未曾有
若人欲了知 三世一切仏 応観法界性 一切唯心造
(旧訳)心如工画師 画種種五陰 一切世界中 無法而不造
(新訳)心如工画師 能画諸世間 五蘊悉従生 無法而不造
(旧訳)如心仏亦爾 如仏衆生然 心仏及衆生 是三無差別
(新訳)如心仏亦爾 如仏衆生然 応知仏与心 体性皆無尽
(旧訳)諸仏悉了知 一切従心転 若能如是解 彼人見真仏
(新訳)若人知心行 普造諸世間 是人則見仏 了仏真実性
(旧訳)心亦非是身 身亦非是心 作一切仏事 自在未曾有
(新訳)心不住於身 身亦不住心 而能作仏事 自在未曾有
(旧訳)若人欲求知 三世一切仏 応当如是観 心造諸如来
(新訳)若人欲了知 三世一切仏 応観法界性 一切唯心造